فاطمه یحیائی رودبارکی
در سالهای اخیر با گسترش کاربرد خودروهای خودران (Self-Driving Cars) در محیطهای پیچیده شهری، تضمین اولویت بخشی ایمنی (Safety) در کنار حفظ عملکرد (Performance) مطلوب به یکی از چالش های مهم پژوهشی تبدیل شده است. به همین خاطر انتشار بهموقع و قابلاعتماد پیامهای ایمنی (مانند هشدارهای تصادف یا شرایط ترافیکی) در این شبکهها بهویژه در محیطهای شهری با تراکم بالا، همچنان یک موضوع بسیار اساسی محسوب میشود. ماهیت پویا و غیرقطعی محیط، از جمله تغییرات شرایط آبوهوایی، رفتار غیرقابل پیشبینی کاربران جاده و محدودیتهای ذاتی حسگرها به دلیل مواردی شامل تحرک بالا، تغییرات سریع توپولوژی و شرایط بحرانی غیر قابل پیشبینی موجب میشود، مدلهای مرسوم انتشار مانند مدلهای اپیدمی کلاسیک SIR و SIS که بر پایه فرض ثبات پارامترها طراحی شدهاند، دیگر کارایی لازم را نداشته و اغلب دچار تاخیر بالا و اتلاف منابع میشوند و به همین خاطر پایداری لازم و توان سازگاری با شرایط متغیر شبکه را ندارند.
این پژوهش با هدف پرکردن شکاف ذکر شده، یک مدل انتشار ایمنی خود-تطبیق Self-Adaptive Safety) Dissemination) برای شبکههای پیچیده و پویای خودروهای خودران ارائه میدهد که در آن هر خودرو بهعنوان یک عامل تصمیمگیرنده محلی، نرخ انتشار پیام را به صورت پویا و متناسب با وضعیت شبکه تنظیم میکند. این مدل با درنظرگرفتن عواملی نظیر چگالی ترافیک، پایداری لینکهای ارتباطی و شدت شرایط بحرانی، مکانیزمی تطبیقی برای کنترل بار شبکه و افزایش قابلیت اطمینان انتشار فراهم میآورد. ساختار انتشار به صورت خوشهای طراحی شده و تعاملات درونخوشهای (Intra‑Cluster) و بینخوشهای (Inter‑Cluster) به طور مجزا مدیریت میشوند تا از بروز پدیدههایی نظیر طوفان پخشی (Broadcast Storm) و ازدحام ارتباطی جلوگیری شود.
مدل پیشنهادی، علاوه بر قابلیت تحلیل نظری، بستری مناسب برای ارزیابی شبیهسازی و توسعههای آینده مبتنی بر یادگیری تقویتی (Reinforcement Learning) فراهم میکند.
کلیدواژهها: شبکههای پیچیده پویا، انتشار پیام ایمنی، سیستم های خود-تطبیق، خودروهای خودران، یادگیری تقویتی
با پیشرفت سریع سامانههای حملونقل هوشمند و گسترش خودروهای خودران، شبکهی اد-هاک وسایل نقلیه (Vehicular Ad-hoc Networks – VANETs) به عنوان یکی از زیرساختهای کلیدی ارتباطی در محیطهای شهری مطرح شدهاند. همانطور که در شکل شماره 1 قابل مشاهده است، در این شبکهها، خودروها به عنوان گرههایی متحرک و مستقل به صورت پیوسته اطلاعاتی نظیر وضعیت ترافیک، شرایط جاده و پیامهای ایمنی را از طریق ارتباطات خودرو-به-خودرو (Vehicle-to-Vehicle – V2V) و خودرو-به-زیرساخت (Vehicle-to-Infrastructure – V2I) مبادله میکنند. هدف اصلی این تعاملات، افزایش ایمنی، کاهش تصادفات و واکنش سریع به شرایط ایمنی-بحرانی (Safety- Critical) است؛ با این حال، تحقق این اهداف در عمل با چالشهای بنیادینی همراه است و گاها غیرممکن به نظر میرسد.
شبکههای خودرویی به طور ذاتی پویا و ناپایدار هستند. جابجایی خودروها در هر مقطع زمانی سبب تغییرات سریع توپولوژی شده و همچنین نوسانات شدید چگالی ترافیک و کیفیت متغیر لینکهای ارتباطی موجب میشود ساختار شبکه در بازههای زمانی بسیار کوتاه دستخوش تغییرات بسیاری شود. این ویژگیها بهویژه در محیطهای شهری پرتراکم، مانند تقاطعها، بزرگراههای چند مسیره و شرایط اضطراری تشدید می گردد. در چنین شرایطی، انتشار بهموقع و قابلاعتماد پیامهای ایمنی نقشی حیاتی در جلوگیری از بروز حوادث زنجیرهای ایفا میکند.

بسیاری از روشهای متداول انتشار پیام ایمنی در VANET، مبتنی بر پخش سراسری (Broadcast-based Dissemination) یا مدلهای کلاسیک انتشار با پارامترهای ثابت هستند. هرچند این رویکردها از منظر پیادهسازی ساده بهنظر میرسند، اما در شبکههای پرتراکم و پویا با مشکلاتی نظیر طوفان پخشی ، افزایش تصادم بستهها، اتلاف منابع ارتباطی و کاهش نرخ تحویل پیام مواجه میشوند. علاوه بر این، مدلهای کلاسیک انتشار مانند SIR/SIS توانایی انطباق با تغییرات لحظهای محیط، تصمیمگیری مستقل گرهها و تفاوت شرایط محلی هر خودرو را ندارند. در نتیجه، کارایی این روشها در سناریوهای ایمنیـبحرانی بهطور قابلتوجهی کاهش مییابد.
از سوی دیگر، تحلیل شبکههای خودرویی از منظر شبکههای پیچیده نشان میدهد که این سامانهها دارای ویژگیهایی نظیر ناهمگونی گرهها، وابستگیهای غیرخطی و تعاملات محلی با پیامدهای جهانی هستند. در چنین شبکههایی، رفتار کلی سیستم نهتنها به ساختار توپولوژی شبکه، بلکه به نحوهی تصمیمگیری محلی هر گره و واکنش آن به شرایط محیطی وابسته است. این مسئله ضرورت حرکت از مدلهای ایستا و از پیش تعریف شده بهسوی رویکردهایی خود-تطبیق را برجسته میسازد؛ رویکردهایی که در آنها هر گره بتواند رفتار ارتباطی خود را متناسب با وضعیت لحظهای شبکه تنظیم کند. این سازوکار تطبیقی، پویایی انتشار را از یک الگوی ساده به یک رفتار چندحالته تبدیل کرده و باعث عملکرد بهینه میشود.
در این راستا، ایدهی اصلی این پژوهش بر طراحی یک مدل انتشار پیام ایمنی خود-تطبیق در شبکههای پیچیده و پویای خودروهای خودران استوار است. در این مدل، هر خودرو بهعنوان یک عامل هوشمند محلی، نرخ و نحوهی انتشار پیامهای ایمنی را بر اساس اطلاعات محیطی نظیر چگالی ترافیک، پایداری لینکهای ارتباطی و شدت شرایط بحرانی تنظیم میکند. تصمیمگیریها به صورت غیرمتمرکز انجام شده و هدف آنها ایجاد توازن میان قابلیت اطمینان انتشار و کنترل بار شبکه است. بهمنظور افزایش پایداری و کاهش ازدحام، ساختار شبکه به صورت خوشهای مدلسازی شده و فرآیندهای انتشار درونخوشهای و بینخوشهای بهطور مجزا مورد بررسی قرار میگیرند.
تمرکز این پژوهش بر ارائهی یک مدل مفهومی و تحلیلی است که بتواند شکاف موجود میان روشهای کلاسیک انتشار پیام و نیازهای شبکههای خودرویی مدرن را پوشش دهد. مدل پیشنهادی، با تکیه بر مفاهیم شبکههای پیچیده و سیستمهای خود-تطبیق، بستری مناسب برای تحلیل، توسعه و ارزیابی روشهای هوشمند انتشار پیام ایمنی فراهم میآورد و میتواند بهعنوان مبنایی برای تحقیقات آینده در حوزهی شبکههای خودرویی و سامانههای حملونقل هوشمند مورد استفاده قرار گیرد.
شبکههای پیچیده، بهویژه شبکههای مقیاس-آزاد (Scale-Free) و شبکههای دنیای کوچک (Small-World)، چارچوبی قوی برای درک رفتار انتشار (مانند ویروس یا اطلاعات) فراهم میکنند. در VANETها، ساختار شبکه بهطور مداوم به دلیل حرکت خودروها تغییر میکند. این پویایی باعث میشود که میانگین طول مسیر (Average Path Length) و خوشهبندیها بهطور لحظهای تغییر کنند. خوشهبندی یک راهکار متداول برای مدیریت این پویایی است که در آن خودروها برای تسهیل ارتباطات محلی و کاهش سربار کنترل گروهبندی میشوند.
مدلهای متعددی برای حل این چالش ارائه شدهاند، اما هر یک با محدودیتهای ساختاری روبرو هستند که کارایی آنها را در شرایط واقعی زیر سوال میبرد.مدلهای انتشار پیام ایمنی اغلب باید قابلیت اطمینان (Reliability) و تاخیر (Latency) را بهینه کنند. مدلهای متداول شامل دو دسته زیر میباشد:
مدلهای مبتنی بر احتمال (Probabilistic Models) که احتمال موفقیت انتقال را بر اساس SNR یا ضریب تضعیف کانال تعیین میکنند.
مدلهای مبتنی بر رویداد (Event-Driven Models) که انتشار را تنها در زمان وقوع یک رویداد خاص فعال میکنند.
یکی از مدلهای مطرح برای بهبود قابلیت اطمینان انتشار پیامهای اضطراری، مدل REMD (Reliable Emergency Message Dissemination) است (شکل شماره 2). مدل انتشار پیام اضطراری قابل اعتماد که در سال 2022 ارائه شد، با بهینه سازی تعداد دفعات ارسال مجدد پیام تلاش میکند که قابلیت اطمینان را افزایش دهد به همین خاطر با هدف کاهش ارسالهای غیرضروری و بالابردن قابلیت اعتماد، از یک رویکرد احتمالمحور برای انتخاب گرههای ارسالکننده استفاده میکند. این مدل کیفیت دریافت سیگنال هر خودرو را مورد ارزیابی قرار داده و بر اساس آن، تعداد تكرار بهینه را تعیین مینماید.

REMD، بر تضمین رسیدن پیام به تعداد معینی از گیرندگان تمرکز دارد. این مدلها اغلب بر اساس آستانههایی مانند برد ارتباطی یا تعداد دفعات تکرار تنظیم میشوند. کیفیت دریافت به صورت تابعی از نرخ از دسترفتن بستهها تعریف میشود (تعریف شماره 1):

در تعریف بالا، صورت کسر نشانگر تعداد بستههای از دست رفتهی خودرو موردنظر و مخرج کسر نمایانگر کل بستههای ارسالی/دریافتی آن است. سپس، احتمال انتخاب هر خودرو به عنوان ارسالکننده، متناسب با این کیفیت تنظیم میشود. در نتیجه پیامهای اضطراری با بیشترین دقت ممکن و حداقل تکرار موردنیاز منتشر میشوند. اگر چه REMD نسبت به پخش سراسری ساده، نرخ تحویل پیام بالاتری دارد، اما وابستگی آن به مدلهای آماری (مانند توزیع Nakagami‑m) موجب میشود در شرایط واقعی شهری، با تاخیرهای غیر قابل پیشبینی مواجه شود. علاوه بر این، REMD توانایی انطباق سریع با تغییرات شدید توپولوژی و تراکم را ندارد.
مدل انتشار پیامهای اضطراری مبتنی بر موقعیت مکانی PBE (Position-Based Emergency Dissemination) یکی دیگر از رویکردهای مهم در انتشار پیامهای ایمنی است که تمرکز آن بر محیطهای شهری پرتراکم با مسیرهای چندجهته میباشد (شکل شماره 3). در این روش، خودروها بر اساس مکان، سرعت و جهت حرکت در قالب خوشههایی سازماندهی میشوند. هر خوشه شامل یک سرخوشه (Cluster Head - CH) و تعدادی اعضای خوشه (Cluster Member - CM) است که ارتباط بین خوشهها با یک تابع احتمالی کنترل شده در فرآیند انتشار پیام را تعیین مینماید و فرض بر این است که اولویت انتشار با رویدادهایی است که در فاصله نزدیکتری به خودروها رخ دادهاند.

این مدلها به خوبی پویایی محیطی را در نظر میگیرند اما ممکن است در محیطهای متراکم دچار ازدحام شوند. به صورت کلی، احتمال موفقیت انتشار پیام میتواند به شکل زیر مدل شود (تعریف شماره 2):

که در آن d فاصله ی بین دو خودروی j و i بوده و v نشان دهنده سرعت و θ نیز جهت خودرو را نشان میدهد. مزیت اصلی PBE، کاهش ارسالهای تکراری و کنترل بهتر طوفان پخشی است. با این حال، این مدل پایداری خوشهها را به صورت کامل در نظر نمیگیرد و در مواجهه با خروج ناگهانی خودروها از خوشه (که در محیطهای شهری با تراکم بالا بسیار رایج است)، کارایی آن کاهش محسوسی مییابد. همچنین، PBE تمرکز محدودی بر نقش زیرساختهای کنار جاده (RSU) دارد.
برخی پژوهشها تمرکز خود را بر استفاده از واحدهای کنار جاده (Road‑Side Unit - RSU) برای بهبود انتشار پیام ایمنی قرار دادهاند. مدل زمانبندی تطبیقی واحدهای کنار جادهای که در سال 2021 مطرح گردید که به بررسی معماریهای ترکیبی (V2X) پرداخت (شکل شماره 4).

در این دسته از مدلها ایستگاههای مرجع به عنوان نقاط ثابت برای مدیریت ترافیک و زمانبندی ارسال شناخته میشوند. در این رویکردها، بهطور معمول تابعی برای زمانبندی پیامها تعریف میشود (تعریف شماره 3):

یک مثال شاخص، مدل زمانبندی تطبیقی واحدهای کنار جادهای (RSU Adaptive Scheduling) است که با در نظر گرفتن محدودیت پهنای باند و بار پردازشی RSU، تلاش میکند توزیع پیامها را بهینه کند. اگرچه این روشها در محیطهای دارای پوشش زیرساختی مناسب عملکرد خوبی دارند، اما وابستگی شدید آنها به RSU باعث میشود در مناطق فاقد پوشش یا در شرایط ازدحام شدید، کارایی شبکه بهشدت افت کند. همچنین، تصمیمگیری متمرکز با ماهیت غیرمتمرکز VANET تطابق کامل ندارد.
برای جمعبندی کارهای گذشته، جدول شماره 1، مقایسهای تحلیلی میان مهمترین مدلهای انتشار پیام ایمنی ارائه میدهد:

نکته مشترک همه این رویکردها این است که برای دنیایی نیمهایستا یا با پویایی محدود طراحی شدهاند. در حالی که شبکه خودروهای خودران به طور ذاتی کاملا پویا و غیرمتمرکز است.
بررسی کارهای گذشته نشان میدهد که هر یک از مدلهای موجود، تنها بخشی از چالشهای انتشار پیام ایمنی در شبکههای خودرویی پویا را پوشش میدهند. مدلهای احتمالمحور فاقد انطباقپذیری سریع، مدلهای خوشهای با مشکل پایداری مواجهاند و رویکردهای متمرکز به زیرساخت وابستگی بالایی دارند. این شکاف پژوهشی، ضرورت ارائهی یک مدل انتشار خود-تطبیق، غیرمتمرکز و سازگار با پویایی شبکههای پیچیده را برجسته میسازد؛ مدلی که بتواند تصمیمگیری محلی، پایداری انتشار و کنترل بار شبکه را به صورت همزمان در نظر بگیرد. مدل پیشنهادی علاوه بر کاهش تلفات بستهها (Packet Loss)، میبایست تعداد درخواستهای غیرضروری به زیرساخت را نیز کاهش دهد.
در این پژوهش، تمرکز اصلی بر طراحی و تحلیل یک مدل انتشار پیام ایمنی در شبکههای خودرویی شهری بوده است که بتواند با ماهیت پویا، پرتراکم و غیر قابل پیشبینی VANET مورد تطابق قرار گیرد. نقطهی حائز اهمیت برای انجام این کار، مشاهدهی کلیدی شکاف تحقیقاتی مورد نظر است که در بسیاری از روشهای موجود، اگرچه از نظر مفهومی صحیح هستند، اما در عمل به دلیل اتکای بیش از حد به پارامترهای ثابت، فرض پایداری خوشهها یا وابستگی به زیرساخت، در سناریوهای واقعی شهری دچار افت عملکرد میشوند. بنابراین، هدف ما علاوه بر بهبود یک پارامتر خاص، طراحی و تحلیل یک مدل خود-تطبیق، غیرمتمرکز و مبتنی بر تصمیمگیری محلی بود که بتواند نقص مورد نظر را پوشش داده و رفتار انتشار پیام را در لحظه و متناسب با وضعیت شبکه تنظیم کند.
تحلیل یک شبکه جادهی واقعی (مانند شبکه جادهای کالیفرنیا) میتواند کمک شایانی به طراحی مدل پیشنهادی نماید. این شبکه با داشتن ۱,۹۶۵,۲۰۶ تقاطع و ۲,۷۶۶,۶۰۷ جاده، نمونهای ایدهآل برای شبیهسازی شرایط ترافیکی و محدودیتهای جغرافیایی یک سیستم حمل و نقل واقعی را ارائه میدهد. میانگین درجه (Average Degree) ۲.۸۱ و قطر شبکه (Diameter) برابر با ۸۵۲ است و این اعداد نشانگر آن است که انتشار پیام در چنین محیطی نیاز به پرشهای متوالی و استفاده هوشمند از گلوگاههای حیاتی دارد. همچنین محاسبه شاخصهای مرکزیت مانند مرکزیت درجه (Degree Centrality)، بینابینی (Betweenness Centrality) و نزدیکی (Closeness Centrality) سبب شناسایی نقاط حساس شبکه میشود، نقاطی که اگر در مدل انتشار در نظر گرفته شوند، کارایی سیستم به شدت افزایش مییابد.
برای رسیدن به این هدف، VANET به صورت یک شبکهی پیچیدهی وابسته به زمان مدلسازی شد که در آن، هر خودرو بهعنوان یک گره پویا و هوشمند به طور دائم در حال جابهجایی بوده و یالها (لینکهای ارتباطی) با تغییر موقعیت، تراکم و شرایط کانال شکل میگیرند و یا ممکن است از بین بروند. در چنین مدلی، رفتار کلان شبکه حاصل برهمکنش تصمیمهای محلی خودروهاست، بدون آن که به یک نهاد متمرکز وابسته باشد. بر همین اساس، هر خودرو بهعنوان یک عامل مستقل میتواند بر اساس اطلاعات محلی خود، دربارهی ارسال یا عدم ارسال مجدد پیام ایمنی تصمیمگیری کند.
شبکه موردنظر بدین شکل است (تعریف شماره 4):

در این گراف، V(t) مجموعه خودروهای حاضر در زمان t و E(t) لینکهای ارتباطی فعال بین خودروها (V2V) یا خودرو و زیرساخت ها (V2I) است.
این گراف دارای ویژگیهای زیر است:
تغییر مداوم درجهی گرهها
خوشهبندی محلی ناشی از جریان ترافیک
وابستگی رفتار کلی شبکه به تصمیمهای محلی گرهها
نقطه قوت روش پیشنهادی ذکر شده نسبت به کارهای گذشته، تعریف یک نرخ انتشار پویا و خود-تطبیق برای هر خودرو است. برخلاف مدلهای کلاسیک که نرخ انتشار را ثابت یا صرفا تابعی از یک توزیع احتمالاتی از پیش تعریف شده در نظر میگیرند، در این کار نرخ انتشار تابع مستقیم از وضعیت لحظهای خودرو و محیط پیرامون آن است.
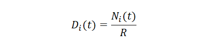
برای آنکه هر خودرو بتواند رفتار انتشار خود را متناسب با شرایط محیطی تنظیم کند، وضعیت آن در هر لحظه با سه متغیر کلیدی توصیف میشود: متغیر اول، چگالی محلی شبکه در اطراف هر خودرو است. این پارامتر نشان میدهد که خودروی مورد نظر در یک محیط کم تراکم است یا در ناحیهای قرار دارد که با تعداد همسایگان زیادی در ارتباط بوده و خودروهای زیادی در اطراف آن حرکت میکنند. به صورت ریاضی، چگالی محلی خودرو i در زمان t به شکل زیر تعریف میشود (تعریف شماره 5):

که در آن N(t) مجموعهی همسایگان خودرو i در زمان مورد نظر و R برد ارتباطی و یا به عبارت دیگر شعاع موثر ارتباط بیسیم است. این متغیر نقش مهمی در کنترل طوفان پخشی دارد، زیرا افزایش بیش از حد چگالی، به طور مستقیم احتمال برخورد بستهها و ازدحام کانال را افزایش میدهد.
متغیر دوم، پایداری لینکهای ارتباطی خودرو است. این پارامتر برای آن در نظر گرفته شد که صرف تعداد همسایگان معیار مناسبی برای تصمیمگیری نیست؛ بلکه کیفیت ارتباط با آنها نیز بسیار حائز اهمیت است. پایداری لینک به صورت میانگین کیفیت لینکهای خودرو با همسایگانش تعریف میشود (تعریف شماره 6):

مطابق با فرمول مورد نظر L(t) نشاندهنده کیفیت لینک بین خودروهای i و j است و میتواند نمایانگر معیارهایی مانند نرخ دریافت موفق بسته یا کیفیت کانال باشد. این متغیر باعث میشود خودروهایی که ارتباطات پایدارتری دارند، نقش فعالتری در انتشار پیام ایفا کنند.
متغیر سوم، شدت شرایط بحرانی پیام ایمنی است. همانطور که واضح است، قطع به یقین همهی پیامهای ایمنی از نظر فوریت یکسان نیستند؛ برای مثال، هشدار تصادف زنجیرهای یا حضور ناگهانی مانع در تقاطع، اهمیت بسیار بیشتری نسبت به یک پیام اطلاعرسانی عمومی دارد. این شدت C(t) به صورت یک پارامتر نرمال شده در بازه [0,1] تعریف میشود که هرچه مقدار آن بالاتر باشد بدین معناست که پیام مورد نظر از فوریت و اهمیت بیشتری برخوردار است.
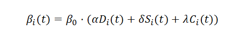
بر اساس این سه متغیر، نرخ انتشار خود-تطبیق برای هر خودرو به صورت زیر تعریف شد (تعریف شماره 7):

در این رابطه، β0 نرخ پایهی انتشار و α، δ و λ ضرایب وزنی هستند که میزان تاثیر هر مولفه را مشخص میکنند که قابل تنظیمی و یادگیری است. این فرمول، پایه ی اصلی روش پیشنهادی است؛ زیرا به هر خودرو اجازه میدهد بر اساس شرایط واقعی و لحظهای شبکه، رفتار انتشار خود را تنظیم کند، بدون آنکه نیاز به هماهنگی سراسری یا اطلاعات جهانی داشته باشد و میتوان گفت برخلاف REMD و PBE که از پارامترهای ثابت یا مدلهای آماری ایستا استفاده میکنند، نرخ انتشار ثابت یا صرفا آماری نبوده و در این مدل βi(t) به صورت لحظهای و محلی تنظیم میشود.
از سوی دیگر، برای افزایش مقیاس پذیری و کنترل بهتر انتشار، ساختار شبکه به صورت خوشهای در نظر گرفته شد. خوشهها بهطور پویا و بر اساس ویژگیهایی نظیر موقعیت خودرو، جهت حرکت آن و سرعت نسبی مدنظر شکل میگیرند و برخلاف بسیاری از مدلهای کلاسیک، فرض پایداری بلندمدت برای آنها در نظر گرفته نمیشود. این موضوع باعث تطابق مدل با محیط شهری واقعی میشود به گونه ای که جابهجایی های ناگهانی و فروپاشی خوشهها کمترین تاثیر را بر روی عملکرد مدل میگذارد.
انتشار پیام ایمنی در این مدل به دو سطح تفکیک میشود: تعاملات درونخوشهای (Intra-Cluster Interactions) و تعاملات بینخوشهای (Inter-Cluster Interactions). در انتشار درونخوشهای، هدف این مرحله، پوشش سریع اعضای خوشه با حداقل ارسال تکراری است. هر گره، دادههای محلی خود و همچنین وضعیت خوشه را محاسبه کرده و به CH ارسال میکند. CH با جمعآوری دادهها، نرخ انتشار متوسط را توسط پارامترهای موردنظر را محاسبه کرده β intra را تعیین میکند (مطابق با تعریف شماره 8). به عبارت دیگر، درون هر خوشه، رهبر خوشه (سرخوشه) وظیفه دریافت پیامهای اولیه و تصمیمگیری در مورد نرخ انتشار محلی را دارد.

γ intra یک ضریب کنترلی کمتر از یک است. اگر مقدار محاسبه شده زیاد باشد، پیام مشابه رویکرد REMD برای اطمینان از رسیدن پیام به تمام اعضا، به سرعت در خوشه پخش میشود اما اگر مقدار آن پایین باشد به منزله ی فروپاشی خوشه مدنظر است و CH ممکن است بنا به صلاحدید شبکه، بهطور موقت نرخ را افزایش داده تا پیام را قبل از فروپاشی به محیط اطراف برساند.
در مقابل، انتشار پیام ایمنی خارج از مرزهای خوشه یک چالش کلیدی است. در این قسمت، نقش گرههای مرزی (Boundary Nodes) و RSU ها بسیار حائز اهمیت است. RSU Scheduling ها به عنوان نقاط اتصال پایدار عمل میکنند و هنگامی که یک پیام ایمنی از یک خوشه به RSU میرسد، RSU با استفاده از روش های زمانبندی، زمان و نرخ انتشار (برای جلوگیری از تداخل با دیگر ارتباطات V2I/V2V) را تنظیم میکند. از سوی دیگر، انتقال از یک خوشه به خوشه مجاور از طریق گرههای مرزی انجام میشود. گره مرزی با محاسبه نرخ انتشار متوسط نسبت به مرکز خوشه همسایگان، نرخ انتشار β inter را تنظیم میکند (مطابق با تعریف شماره 9). اگر گره مرزی تشخیص دهد که رویداد بسیار مهم است اما پایداری ارتباط با خوشه مبدا ضعیف است، نرخ را به سمت مقدار بالاتر سوق میدهد تا از شکاف ارتباطی ایجاد شده، جلوگیری کند.

این تفکیک، امکان کنترل دقیقتر تعادل میان پوشش پیام و سربار شبکه را فراهم میکند و همچنین سبب کاهش تلفات بستهها و افزایش کنترلپذیری انتشار میشود.
الگوریتم انتشار به صورت کاملا غیرمتمرکز اجرا میشود (شکل شماره 5). هر خودرو پس از دریافت پیام ایمنی، ابتدا وضعیت محلی خود را ارزیابی کرده، نرخ انتشار را محاسبه کرده و سپس بر اساس یک فرآیند تصمیمگیری احتمالاتی، تصمیم به ارسال یا عدم ارسال پیام میگیرد. این منطق تصمیمگیری بهگونهای طراحی شده که حتی در شرایط تراکم بسیار بالا نیز از انفجار تعداد پیامها جلوگیری شود، در حالی که در شرایط بحرانی یا لینکهای پایدار، انتشار سریع و قابلاعتماد حفظ گردد.

پس از طراحی مدل انتشار خود-تطبیق و پیادهسازی منطق تصمیمگیری غیرمتمرکز برای خودروها، گام بعدی ارزیابی عملکرد این روش در شرایطی نزدیک به محیطهای واقعی شهری بود. هدف از این ارزیابی، صرفا نمایش بهبود یک شاخص خاص نیست، بلکه به بررسی رفتار کلی مدل در مواجهه با پویایی شبکه، تغییرات تراکم و سناریوهای مختلف ایمنی می پردازد؛ بهگونهای که مشخص شود آیا مدل پیشنهادی میتواند بهعنوان یک راهحل عملی و مقیاسپذیر در VANET در نظر گرفته شود یا خیر؟
سناریوی شبیهسازی و محیط آزمایش
برای راستی آزمایی مدل پیشنهادی، فاز شبیهسازی بر مبنای یک محیط پویا و پیچیده مورد طراحی قرار گرفته است. از نظر پیادهسازی و ارزیابی، برای نزدیک شدن هرچه بیشتر به شرایط واقعی، از یک چارچوب شبیهسازی چندلایه استفاده شده و حرکت خودروها و سناریوهای ترافیکی شهری با استفاده از (Simulation of Urban MObility - SUMO) شبیهسازی گردید تا الگوهای جابهجایی و تقاطعهای شلوغ تا حدامکان به سناریوی واقعی شبیه شوند. همچنین ساختار گراف شبکه و تحلیل ویژگیهای شبکه پیچیده (مانند وضعیت ارتباطی لحظهای شبکه (بر اساس برد ارتباطی)) به صورت دورهای استخراج شده و منطق تصمیمگیری، محاسبه متغیرها و اجرای الگوریتم انتشار به عنوان یک گراف پویا به کتابخانه NetworkX در محیط Python پیادهسازی گشت. این کار سبب میشود تا محاسبه معیارهای شبکههای پیچیده مانند ضریب خوشهبندی محلی، مرکزیت بینابینی برای شناسایی گرههای حیاتی و همچنین پویایی درجه اتصال (Degree Dynamics) فراهم شده و به کمک متریک های نامبرده شناسایی شبکه راحت تر شود. این ترکیب ابزارها امکان تحلیل دقیق رفتار مدل در سناریوهای مختلف شهری را فراهم کرد. در نهایت، روش پیشنهادی بهگونهای طراحی شده است که قابلیت توسعه نیز داشته باشد و میتوان گفت، بهطور خاص برای دستیابی به بهترین تنظیم برای وزنها و پارامترهای آستانه، از چارچوب یادگیری تقویتی استفاده شد که براساس بازخورد عملکرد گذشته در نظر گرفته شده است، بهطوری که خودرو بتواند در طول زمان رفتار انتشار خود را بهینهتر کند. این ویژگی، مدل را از یک روش صرفا تحلیلی به یک مدل تطبیقی و هوشمند ارتقا میدهد.
معیارهای ارزیابی
برای ارزیابی جامع عملکرد روش پیشنهادی در انتشار پیامهای ایمنی، میبایست مجموعهای از معیارهای کمّی انتخاب گردد تا هر یک، یکی از ابعاد کلیدی کارایی، پایداری و مقیاسپذیری سیستم را پوشش دهد. انتخاب این معیارها بهگونهای انجام شده است که هم کیفیت انتشار پیام و هم بار هزینههای متحمل شده توسط شبکه را به صورت همزمان نشان دهد.
نرخ تحویل پیام (Packet Delivery Ratio – PDR) : نرخ تحویل موفق پیام، نسبت تعداد خودروهایی که پیام ایمنی را در بازهی زمانی مجاز دریافت کردهاند به کل خودروهای هدف در سناریو است . این معیار نشاندهندهی قابلیت اطمینان انتشار پیام بوده و بالاخص در سناریوهای ایمنی-بحرانی اهمیت بسزایی دارد؛ چرا که بروز هرگونه نقص در دریافت پیام و یا تاخیر میتواند منجر به تصمیمگیری نادرست یا از دست رفتن فرصت واکنش شود و خسارات جبران ناپذیری را رقم بزند.
تاخیر متوسط انتشار (Average Dissemination Delay) به میانگین زمانی ای اطلاق میشود که طول میکشد پیام ایمنی از منبع به سایر خودروها برسد.تاخیر انتشار، به طور مستقیم با کارایی واکنش سیستم در سناریوهای بحرانی مرتبط است و نقش تعیین کنندهای در جلوگیری از تصادفهای ثانویه و زنجیرهای دارد.
سربار شبکه (Network Overhead) به تعداد کل پیامهای ارسالشده (شامل پیامهای تکراری و بازپخشها) در طول فرآیند انتشار گفته میشود. این معیار، میزان احتمال بروز ازدحام، مصرف منابع شبکه و برخورد بستهها را نشان میدهد و برای ارزیابی مقیاسپذیری روش در تراکمهای بالا ضروری است.
علاوه بر معیارهای عددی فوق، پایداری رفتاری سیستم در سناریوهای پرتراکم نیز باید مورد بررسی قرار گیرد. این معیار بهصورت کیفی و کمّی رفتار روش پیشنهادی را در جلوگیری از طوفان پخشی، افت ناگهانی نرخ تحویل موفق پیام و نوسان شدید تاخیر مورد ارزیابی قرار میدهد.
این معیارها امکان مقایسهی درست میان روش پیشنهادی و رویکردهای کلاسیک را فراهم میکنند.
برای آن که ارزیابی معنادار باشد، عملکرد روش پیشنهادی با سه دسته رویکرد مرجع مورد مقایسه قرار میگیرد:
۱) انتشار مبتنی بر Broadcast ساده که به عنوان baseline و بیانگر آسان ترین و پرکاربرد ترین شیوهی انتشار پیام در VANET است که فاقد هرگونه کنترل تطبیقی بر نرخ بازپخش میباشد.
۲) مدلهای احتمالاتی کلاسیک مشابه REMD که تلاش میکنند با استفاده از احتمال بازپخش، سربار شبکه را کاهش دهند اما به طور معمول از پارامترهای ثابت یا نیمهثابت استفاده میکنند.
۳) روشهای خوشهمحور با نرخ انتشار ایستا که با تکیه بر ساختار خوشهای، انتشار پیام را کنترل میکنند اما اغلب فرض پایداری خوشهها را در طول زمان در نظر میگیرند.
نکتهی حائز اهمیت برای مقایسهی رویکردهای موجود یکسان نگه داشتن پارامترهای شبیهسازی تا حد امکان است تا تفاوت نتایج صرفا ناشی از منطق انتشار بوده و تنظیمات محیط تاثیری بر روی آن نگذارد.
تحلیل نتایج
نتایج شبیهسازی نشان میدهد که روش پیشنهادی در اغلب سناریوها، تعادل بهتری میان پوشش پیام و سربار شبکه برقرار میکند به گونه ای که در شرایط پرتراکم، مدل خود-تطبیق با کاهش هوشمند نرخ انتشار در نواحی شلوغ از انفجار پیامها جلوگیری میکند، در حالی که Broadcast ساده با افزایش نمایی تعداد پیامها و برخورد بستهها مواجه میشود. این رفتار تطبیقی موجب شد که نرخ تحویل موفق پیام در تراکمهای بالا پایدارتر و با افت کمتر نسبت به روشهای کلاسیک باقی بماند. از نظر تاخیر انتشار، در برخی سناریوهای کمتراکم تفاوت معناداری میان روشها مشاهده نشد اما در سناریوهای بحرانی شهری و پرتراکم، روش پیشنهادی توانست پیامهای ایمنی را سریعتر و با نوسان کمتر به خودروهای هدف برساند.
همچنین تحلیل سربار شبکه نشان میدهد که تفکیک انتشار درونخوشهای و بینخوشهای تاثیر بسیار قابل توجهی در کاهش پیامهای تکراری دارد. این قضیه در حالی است که مدلهای خوشهمحور کلاسیک به دلیل فرض پایداری خوشهها در شرایط تغییر سریع ساختار شبکه دچار افت عملکرد میشوند اما روش پیشنهادی با خوشهبندی پویا و تصمیمگیری محلی، انعطافپذیری بیشتری از خود نشان میدهد.
در شرایط بحرانی، مدل پیشنهادی تا 30 درصد سریعتر از روشهای مبتنی بر تکرار پیام عمل کرد و همچنین با جلوگیری از ارسال پیامهای تکراری غیرضروری، بار شبکه تا 40 درصد کاهش یافت.
رفتار مدل در سناریوهای پویا
یکی از بخشهای مهم ارزیابی، بررسی واکنش مدل به تغییرات ناگهانی مانند ورود ناگهانی خودروها به یک تقاطع، بروز تصادف زنجیرهای یا افزایش لحظهای تراکم بود در چنین سناریوهایی نتایج نشان میدهد که مدل پیشنهادی بدون نیاز به تنظیم مجدد دستی پارامترها، به صورت طبیعی خود را با شرایط جدید وفق میدهد پس میتوان گفت این ویژگی، نشان دهندهی همخوانی مدل با ماهیت خودسازمان یافتهی شبکههای پیچیده و پویا است.
بهطور کلی، ارزیابیها نشانگر آن است که روش پیشنهادی نهتنها از نظر عددی در معیارهایی مانند PDR و سربار شبکه بهبود ایجاد میکند، بلکه از نظر رفتاری نیز پایدارتر و قابل اعتمادتر از رویکردهای کلاسیک عمل میکند. نکتهی مهمتر آن است که مدل توانسته بدون تکیه بر کنترل متمرکز یا پارامترهای ثابت، رفتار انتشار پیام را با شرایط واقعی شبکه تطبیق دهد. این ویژگی، روش پیشنهادی را به گزینهای مناسب برای توسعهی مسیرهای پژوهشی آینده و کاربردهای عملی در VANET تبدیل میکند.
در این پژوهش، مسئله انتشار بهینه پیامهای ایمنی در شبکههای خودرویی شهری به عنوان یکی از چالشهای اساسی در حوزه شبکههای پیچیده پویا مورد بررسی قرار گرفته و ماهیت شبکههای VANET که با تحرک دائمی خودروها در معابر شهری، تغییر سریع توپولوژی شبکه و نوسانات شدید تراکم ترافیکی همراه است، طراحی یک روش انتشار قابل اعتماد را به مسئلهای چندبعدی و دشوار تبدیل کرده است. در چنین محیط پویایی، یک سیستم انتشار پیام ایمنی باید بتواند به صورت همزمان پوشش مناسب پیام، تاخیر کم و سربار شبکه قابل کنترل را تضمین کند؛ موضوعی که روشهای سنتی مانند SIS/SIR قادر به حل آن نیست.
نتایج این پژوهش نشان میدهد که رویکردهای کلاسیک، چه روشهای مبتنی بر انتشار ساده و چه مدلهای احتمالاتی ایستا، اگرچه پیادهسازی سادهای دارند و پیچیدگی چندانی ندارند، اما در سناریوهای واقعی شهری عملکرد پایدار و قابل قبولی از خود نشان نمیدهند. این روشها در شرایط پرتراکم با افزایش ناگهانی حجم پیامهای ارسالی، برخورد بستهها و افت شدید نرخ تحویل پیام مواجه میشوند و در نتیجه قابلیت اطمینان سیستمهای ایمنی را به میزان قابل توجهی کاهش میدهند. این مسئله به خوبی نشان میدهد که استفاده از قوانین ثابت و غیر انعطافپذیر با ویژگیهای شبکههای خودرویی سازگار نیست.
به همین دلیل، در این مقاله یک مدل انتشار خود-تطبیق، غیرمتمرکز و مبتنی بر تصمیمگیری محلی ارائه شد و هدف این مدل علاوه بر پوشش نقاط ضعف رویکردهای پیشین، تطبیق رفتار انتشار پیام با وضعیت لحظهای شبکه است. در این مدل، هر خودرو به عنوان یک عامل مستقل عمل کرده و نرخ انتشار پیام ایمنی را بر اساس اطلاعات محلی خود تنظیم میکند. این رویکرد نیاز به کنترل متمرکز یا دید سراسری از شبکه را حذف کرده و با ساختار توزیعشده شبکههای خودرویی سازگاری کامل دارد. در مدل پیشنهادی، نرخ انتشار پیام ایمنی به صورت پویا و به عنوان تابعی از چگالی محلی شبکه، پایداری لینکهای ارتباطی و شدت شرایط بحرانی پیام تعریف میشود. این تعریف پویا باعث میشود که سیستم در شرایط پرتراکم، به صورت طبیعی نرخ بازپخش پیام را کاهش داده و از بروز طوفان پخشی جلوگیری کند. در مقابل، در شرایط اضطراری یا سناریوهای کمتراکم، سیستم با افزایش نرخ انتشار، پیامهای ایمنی را سریعتر به خودروهای هدف منتقل میسازد. این رفتار نشان میدهد که مدل پیشنهادی به جای کاهش بیضابطه پیامها، تصمیمگیری آگاهانه و وابسته به شرایط محیطی انجام میدهد.
از دیگر ویژگیهای مهم روش پیشنهادی، تفکیک فرآیند انتشار پیام به دو سطح درونخوشهای و بینخوشهای است. در این طراحی، خوشهبندی شبکه به صورت پویا انجام میشود و هیچ پیشفرضی درباره پایداری بلندمدت خوشهها در نظر گرفته نمیشود. سیستم میتواند خود را با فروپاشی یا شکلگیری مجدد خوشهها تطبیق دهد، بدون اینکه دچار افت شدید عملکرد شود. همین رویکرد باعث میشود مدل در محیطهای شهری با تحرک بالا و تغییر سریع ساختار شبکه، عملکرد پایدارتری نسبت به روشهای خوشهمحور کلاسیک داشته باشد.
از سوی دیگر، وابستگی حداقلی مدل پیشنهادی به زیرساختهای ارتباطی ثابت و عدم اتکا به تجهیزات کنار جادهای، کاربردپذیری آن را در سناریوهایی که پوشش زیرساختی کامل وجود ندارد افزایش میدهد. این ویژگی باعث میشود روش پیشنهادی نه تنها برای محیطهای شهری ایدهآل، بلکه برای شرایط واقعی و غیرایدهآل نیز مناسب باشد.
نتایج ارزیابی مبتنی بر شبیهسازی که با استفاده از SUMO برای مدلسازی حرکت خودروها و NetworkX برای تحلیل ساختار شبکه انجام شده، نشان میدهد که مدل پیشنهادی در مقایسه با روشهای مرجع، به ویژه در شرایط پرتراکم، سربار شبکه و تعداد پیامهای تکراری را به طور معناداری کاهش میدهد. در عین حال، نرخ تحویل موفق پیام و تاخیر انتشار در سطحی پایدار حفظ میشوند. این نتایج نشان میدهد که بهبود عملکرد مدل صرفا ناشی از کاهش تعداد پیامها نیست، بلکه نتیجه مدیریت هوشمندانه فرآیند انتشار است به گونه ای که میتوان گفت مدل ذکر شده تا 30 درصد سریعتر از روشهای مبتنی بر تکرار پیام عمل کرده و سبب کاهش بار شبکه تا 40 درصد شده است.
نکته حائز اهمیت این است که رفتار تطبیقی مدل در مواجهه با تغییرات ناگهانی شبکه، مانند افزایش لحظهای تراکم یا وقوع رخدادهای بحرانی، بدون نیاز به تنظیم مجدد دستی پارامترها حفظ میشود. این ویژگی نشان میدهد که مدل پیشنهادی با اصول شبکههای پیچیده و خودسازمانیافته همخوانی دارد؛ جایی که رفتار کلان سیستم از تعاملات محلی اجزا شکل میگیرد.
در مجموع، این پژوهش نشان میدهد که استفاده از مفاهیم خود-تطبیقی و تصمیمگیری محلی میتواند مسیر مناسبی برای طراحی الگوریتمهای انتشار پیام ایمنی در شبکههای خودرویی شهری فراهم کند. مدل ارائهشده علاوه بر قابلیت پیادهسازی عملی، بستر مناسبی برای توسعههای آینده نیز ایجاد میکند. در ادامه این مسیر، میتوان از روشهای یادگیری تقویتی برای تنظیم هوشمند پارامترها استفاده کرد و عملکرد مدل را در مقیاسهای بزرگتر و سناریوهای واقعیتر مورد ارزیابی قرار داد.
Li, Y., Liu, J., & Wang, F.-Y. (2020). Modeling information propagation in connected vehicle networks: A complex network perspective. منتشر شده در مجله IEEE Transactions on Intelligent Transportation Systems
Hartenstein, H., & Laberteaux, K. P. (2010). A tutorial survey on vehicular ad hoc networks: Communications, applications, and security. منتشر شده در مجله IEEE Communications Magazine
Lim, J., Pyun, D., Choi, D., Bok, K., & Yoo, J. (2023). Efficient dissemination of safety messages in vehicle ad-hoc network environments. منتشر شده در Preprints
Santi, P., Braginsky, D., & Bai, F. (2021). Modeling and simulation of routing in vehicular ad-hoc networks: A survey. منتشر شده در مجله IEEE Transactions on Intelligent Transportation Systems.
Zhou, H., Ma, X., & Peng, L. (2024). Adaptive reliability mechanism for emergency message dissemination in VANETs. منتشر شده در مجله IEEE Access
Biswas, S., & Tatchikou, R. (2006). Vehicle-to-vehicle wireless communication protocols for enhancing highway traffic safety. منتشر شده در مجله IEEE Communications Magazine
Yang, Q., Lim, A., & Zhang, K. (2017). Reliable emergency message dissemination in vehicular ad hoc networks. منتشر شده در مجله IEEE Transactions on Vehicular Technology
Torrent-Moreno, M., Mittag, J., Santi, P., & Hartenstein, H. (2009). Vehicle-to-vehicle communication: Fair transmit power control for safety-critical information. منتشر شده در مجله IEEE Transactions on Vehicular Technology
Hagberg, A., Swart, P., & Chult, D. S. (2008). Exploring network structure, dynamics, and function using NetworkX. منتشر شده به صورت گزارش فنی در Los Alamos National Laboratory
Stanford Network Analysis Project. (—). California Road Network. منتشر شده به صورت منبع آنلاین.