سلام

سلام نکن جن ها میمیرند.کافرها نه مسلمان ها هم میمیرند خوب با اسم خدا کافرهاباید بمیرند.
ازبعدازخواستن یا درخواست ارتباط دریافت محتوایم دیگه تغییرعنوانی ایجاد کردم.
به خونه نه به حموم رفتم.
صبح حال ندارم بلندشوم وشب حال ندارم بخوابم.
به حموم رفتم و برای اولین بارچندین کارمختلف انجام دادم وبرای معناداشت والان هم أنم گرفته است نه داری غذامیخوری نه اون که صبحونه بود خوردم قبلش لباسم راپوشیدم قبلش رفتم حموم باتیغ زیربغلم را زدم قبلش شامپوزدم وخودم را شستم نه قبلش روفرشی مادرم شستم قبلش چاه و سبدحموم یاچاه حموم راتمیزکردم قبلش خودم را شستم بعد پلاستیک راانداختم توی پلاستیک نه جای آشغالی درست کردم یا دوروست کردم برای حموم که پلاستیک و آشغال های درون سبد چاه دستشویی نه حموم را بریزم درونش و روفرشی را انداختم روی صندلی با یک تاس پرآب دستشویی راشستم با یک لگن روفرشی را شستم وهمین.
شرح حال ام دریک روزی که ازخواب بیدارشدم.
خوب به بازی نهم بپردازیم نه همان بازی هشتم را پیش برویم نه چون که بازی نهم شبیه بازی هشتم است نه بازی نهم فقط صفحه ی بازی اش شبیه بازی نهم هشتم است همان بازی هشتم را پیش برویم خیلی سخت می شود نه بازی نهم مهره هایش هم شبیه بازی هشتم است همین بازی هشتم را پیش برویم نه بازی نهم را پیش برویم نه بازی هشتم را پیش برویم نه بازی نهم فقط اسم اش بابازی هشتم فرق داره یا دارد یا میکند همان بازی نهم را پیش می رویم نه بازی هشتم را پیش می رویم نه بازی نهم را پیش برویم.
تعدادبازیکنان:2نفر
مهره ها:12 مهره مشکی و12 مهره سفید
نحوه بازی:
چیدمان اولیه بازی به صورت شکل می باشد.درطول بازی،مهره هافقط درخانه های مشکی حرکت می کنند.مشکی،آغازگربازی است.بازیکنان به نوبت هرباریکی ازمهره های خودرایک خانه به طورقطری وفقط به سمت جلو(زمین حریف)حرکت دهد.مهره های معمولی نمی توانندبه سمت عقب حرکت کنند.هنگامیکه بازیکنی به طورقطری ازروی مهره ی حریف پریده ودرخانه ی خالی مجاورآن فرودمی آید.مهره ای که پرش ازروی آن انجام شده ازبازی حذف می شود.پرش های متوالی درصورتی امکان پذیراست که خانه ای درمجاورت مهره ی حریف درراستای مورب خالی باشد.اگرپرشی ممکن است،حتمامی بایست صورت گیرد.اگرمهره ای به سمت دیگرصفحه برسد،پادشاه می شود ومهره ای ازمهره های حذف شده همرنگ راروی آن قرارمی دهند.پادشاه می تواند به طورمورب هرباریک خانه به سمت جلویاعقب حرکت کند.
برنده شدن:
اولین بازیکنی که موفق شود هر12 مهره ی حریف را تصاحب کند،ویامهره های حریف را درموقعیتی قراردهد که قادربه حرکت نباشند،برنده بازی است.
9. Checkers
Number of players: 2
Pieces: 12 black pieces and 12 white pieces
How to play: The initial layout of the game is in the form of a figure. During the game, the pieces move only in the black squares. Black is the initiator of the game. Players take turns moving one of their pieces on each square diagonally and only forward (to the opponent's field). Regular pieces cannot move backward. When a player jumps diagonally over an opponent's piece and lands on an empty square adjacent to it, the piece that was jumped over is removed from the game. Consecutive jumps are possible if a square adjacent to the opponent's piece is empty diagonally. If a jump is possible, it must be made. If a piece reaches the other side of the board, it becomes a king and a piece of the same color removed is placed on it. The king can move diagonally one square at a time, forward or backward.
Winning:
The first player to capture all 12 of the opponent's pieces, or to place the opponent's pieces in a position where they cannot move, wins the game.
چیزخاصی درمورد بازی مدنظرم نیست یادرون ذهنم ساخته نمی شود که بخواهم بنویسم همین ها است یاهست مسئله ی اِن وزیراست یاهست که شبیه این مسئله شطرنج و بازی چکرزاست و الان هم مغزم دارد یا داره ضربان میزنه خیلی فکرنکنم یانه کنم یا نه کونم که جالبه باشه یا باشد ادامه بدهم این سه تا مسئله خیلی بهم نزدیک و خیلی بهم شباهت دارند.
دیروزهم یک پی دی اف درمورد بازی شطرنج پیدا کردیم که یک مسئله ای درون پیدا کردیم و جالب بود و حل کردیم.
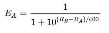
So, what do these numbers actually mean? The difference in the ratings between two players serves as a predictor of the outcome of a match. Two players with equal ratings who play against each other are expected to score an equal number of wins. A player whose rating is 100 points greater than their opponent's is expected to score 64%; if the difference is 200 points, then the expected score for the stronger player is 76% and so on. If Player A has a rating of RA and Player B has a rating of RB, the exact formula (using the logistic curve) for the expected score (EA), from 0 to 1, of Player A is:
بنابراین،چه چیزی انجام می دهد به طورواقعی این اعداد یا این اعداد چه معنی می دهد به طورواقعی؟تفاوت بین تفاوت در نرخ بین دوبازیکن خدمت شده به عنوان پیش بینی کننده نتیجه مسابقه است. دو بازیکن با دو نرخ مساوی که بازی می کنند برعلیه هریک یا یک دیگری انتظارمی رود تا امتیازیک عدد مساوی ازدوبریک بازیکن مال چه کسی نرخ است صد امتیازبزرگترازدیگرحریف هااست انتظارش تاامتیازبه شصت وچهاربرسد;اگرتفاوت بین امتیاز200نمره یا امتیازیا پوزیشن عددی باشد،سپس انتظارمی رود نمره برای بازیکن بزرگتراست 76درصدو بنابراین ادامه داره یا دارد.اگربازیکن آ دارد یک نرخ آراِی و بازکین بی دارد یک نرخ ازآربی،انتظارفرمول(استفاده میکند ازنموداريامنحني نرم افزاری) براي انتظارنمره(ای اِی)،ازصفرتایک،بازیکن آاست:

یک فرمول ریاضی است یاهست برای این قسمت یا مسئله که می گوید که من ازروی ترجمه کردن فارسی اش هم متوجه نشدم که چی می گوید که ای وآرآوآربی چی هست یااست یامیباشد ولی مسئله ای درون فهمیدم که یکی نرخ داره میگه یکی این که داره می گویند منحنی لاجستیک را فهمیدم دیگه این ها نمی دونم چرااینقدردوحریف که می خواهند باهم بازی کونندیا کنند اینقدرمنتظرمیمانند یا دائم می گوید انتظارانتظاربازیکن اول بازیکن دوم انتظارو این قبیل ارتباط.این هم درمورد بازی شطرنج که فرمولی درمورد آن نوشته است یا نوشته شده است که دارای سه متغیرمی باشد که یکی اش ازمتغیرهایش خیلی جالبه تاعدد به توان چهارصد هم رفته است یعنی عدد خیلی بزرگی است یاهست که که خارج قسمت به توان ده قرارگرفته است به نظرشما چه عملی درون شطرنج باعث شده است که به این توان بزرگی برسد و برود خارج قسمت قراربگیرد؟
(RB-RA)/400
به توان ده نه
ده به توان
(RB-RA)/400
تازه دارای اندیس نه دوحرفی.
بازی اندرویش درون گوگل پلی وجودداره یا دارد
خوب الان نتیجه بازی چی شد؟
من تاحالا این بازی را نکرده ام و نشنیده ام.
بیشتر شبیه چک زدن یا سیلی زدن به کسی می باشد که مادرم به من زد ورفت بیرون.
وقتی موتورنداشته باشی موتورت روشن نمی شود.
ببین با قربونت و احترام کسی بهت می دهدیانه.
حتی ببخشید هم بلد نیستی درمن تعریف نشده است اگرهم بگویم بازکارخودم را میکنم من با شمافرق دارم یا فرق میکنم.یعنی اون کاری که خودم میکنم روی مغزم تاثیرداره یادارد نه اون ببخشید که به دیگران می گویم این مسئله ای بود که نمی توانستم بگویم یا کلماتش توی ذهنم ساخته نمی شود که بگویم که چرا من نمی گویم ببخشید ازروی غرورم است یاهست یاعلت دیگری داره یا دارد.
مشکل اش اینه یا همین دیگه وقتی که بامادرت زندگی کونی یا کنی و مادرت زندگی قبلی اش طوردیگری باشه زندگی آینده ای که می خواهد دیگه برنمی گردد به زندگی قبلی اش.
وقتی توچشم ارتباط جنسی یکی باشی دیگه نمی تونی درارتباط دیگری باشی یا بروی.
درطول زندگی ات درطول دوران کاری که درخیابان آذربودم یا قرارداشتم روبه روی اون کوچه بودی؟بامادرت دعوامیکنی به ماچه چرامارالومیدهی یامی دی؟
من خانواده ای ندارم که بخواهم دوشنبه به حرم بروم چون دوشنبه روزخانواده است درخونمون که این وضع است بلد هم نیستم که برای خودم خانواده بسازم چطوری میشه یک مفهومی را که قبول داری را ازذهن ات خارج کرد یا درون درارتباطی اش قرارنگرفت یا ازذهن ازبین برد؟حیوانیت انسان را نمی شود ازبین برد.من مسئولیت پذیرنیستم.من دروغ میگه ازمسئولیت میترسه.
من بامادرم جروبحث دعواودرگیری لفظی ایجاد کردم یا داشتم روزی یک باردعواوجروبحث ودرگیری نداشته باشم نتیجه ای خاصی ندارم.
من نمازخواندم وبعدش این اتفاق برای من افتاد.
این بازی ها تماما پولی است یاهست

اگرکسی بازی داشت که به ایسوس لپ تاب میخوردN56JKبه این بدهد بازی کوندیاکند کمترباخانواده اش دعواودرگیری وجروبحث کوندیاکندیاداشته باشد.
آیافروشگاه بازی همان استیم بازی است؟
درموردکدنویسی وبرنامه نویسی نمی خواهی بنویسی؟
درموردفضای برداری چطور؟
درموردفضای خطو نقطه چطور؟
درموردکدنویسی زبان برنامه نویسی جاوااسکریپت واچ تی ام ال چطورنمی خواهی بنویسی؟
پدربزرگ ات که بمیره یعنی ازخونه ی پدربزرگ ات هم بیرونت کرده اند فکری برای خودت بکن یابوکون برای ساخت آینده و تشکیل زندگی ات.
هرجامیری دوکس کش اعظم هم وجوددارند.
ازدوستان عزیزتقاضامیشودبرای این عزیزبی کس چندتادوست فراهم کونندیاکنندکه بتونه مثل یک انسان عادی درزندگی اش زندگی کوند یاکند وازخونه اش درنشود.

پست جدیدت پتانسیل ترند شدن داره!با کد «rrxk3a»
حال بروم حرم یک دوری بزنم و زیارتی کونم یا کنم بعد ببینم که داره یانداره نه نداره.
کجامی خواهی بروی به حرف این دختره گوش کون یا کن ببین چی میگه.
حدیثه سادات حسینی
که دائم لایکش میکنی یا می کنی و درون نوشته هایت هم این حساسیت ارتباطی را داشتی یا ارتباط را داشتی به چه حرفی اش گوش کنم یا کونم؟
ارتباط به خودارضایی جنسی و ارضای جنسی باخودوخروج منی واستمناوخودکشی وخودخفگی به جغ زدن رسیدیا تبدیل شد.ارتباط با چه کسی؟
مادرم حتی قبل ازاین که به دستشویی برسم سررسید.
قبلاتوی حموم بودم سرمیرسیدندالان توی دستشویی می رسند یک روزی بشه وقتی که دست به کیرم هستم سربرسند.درپای دودوقلیون وقلیان به ارضای جنسی باخودرسید.
ارتباط دودوقلیون وقلیان را به مادرم دادم.
ارتباط
anahitaknm
ارتباط دخترشریف توتیره نیست ولش کون یا کن.
ارتباط دخترشریف نیست ول کون یا کن.
مسئله ی جغ زدن را کناربگذارداری اشتباه میکنی یامی کنی بگذربیایند به هرطوری که شده است کمک ات کنندیاکونند.
آخه چطوری است یاهست که اینقدرسرشان را توی تلویزیون و این طرف وآنطرف تکان می دهند تو نمی فهمی معنی اش چیه یا چی هست یااست.
آخه تو مدیرشرکت یا مهندس یا سازنده ی خری استی یاهستی که توی ارتباط ها و نیازهای جنسی مانده ای.
بهترین زندگی را میتونی یا می توانی درکنارمادرت یا مامانت یا همسایه ها وبقیه ارتباطهایت داشته باشی بگذارکناراین مسخره بازی هایی که داری تویش زندگی می کنی یا داری تویش غرق میشوی یا می شوی.
اصلا معلوم نیست که کی رامیکنی یا می کنی.
وقتی که معلوم نشود که چه کسی را می کنی یا میکنی اصلا اصل حیوانیت درون روح ات صدق نمیکنه یا نمی کند وقتی بدونی اصلا حیوانیت درون روح ات صدق میکنه یا می کند.
ازما گفتن بود حالا خوددانی.
درون دستشویی انگشت توی کونت کردی دیدی اصلا هیچی أن توي كونت نيست.
اینطوری هیچ جا جایت نیست یا جایت نمی دهند.
من منتظرورود ارتش به محیط های ارتباطی هستم.
یادت هست یااست آره است یاهست.
بریم مدرسه دیگه الان حوصله ارتباط اش را ندارم که بخواهم بروم مدرسه بگذریم.
خوب برویم کلاس برداری یا فضای خط حالا یک روزدیگه ای.
1234567891011121314151617181920212223242526272829303132333435363738394041424344454647484950515253545556575859606162636465666768697071 <!DOCTYPE html> <html lang="fa"> <head> <meta charset="UTF-8"> <title>Vector Space Shape</title> <style> body { background:#111; display:flex; justify-content:center; align-items:center; height:100vh; } canvas { background:#000; border:2px solid #fff; } </style> </head> <body> <canvas id="c" width="600" height="600"></canvas> // ---- فضای برداری ----- // تعریف یک کلاس برای بردارها (R^2) class Vec { constructor(x, y) { this.x = x; this.y = y; } add(v) { return new Vec(this.x + v.x, this.y + v.y); } mul(a) { return new Vec(this.x * a, this.y * a); } } // ---------------------- // بردار موقعیت پارامتریک r(t) function r(t) { let v1 = new Vec(Math.cos(3*t), Math.sin(3*t)).mul(150); let v2 = new Vec(Math.cos(t), Math.sin(t)).mul(50); return v1.add(v2); // ترکیب خطی → a*v1 + b*v2 } // ---------------------- let canvas = document.getElementById("c"); let ctx = canvas.getContext("2d"); function draw() { ctx.clearRect(0,0,600,600); ctx.translate(300,300); // مرکز مختصات ctx.strokeStyle = "cyan"; ctx.lineWidth = 2; ctx.beginPath(); let start = r(0); ctx.moveTo(start.x, start.y); for (let t=0; t<Math.PI*2; t+=0.01) { let p = r(t); // بردار موقعیت ctx.lineTo(p.x, p.y); } ctx.stroke(); ctx.resetTransform(); } draw(); </body> </html>
ازطریق این خط کدیاتابع میتوانیم حرکت انیمیشنی درون صفحات وب را بسازیم.
let start = r(0); ctx.moveTo(start.x, start.y);
کامپیوترولپ تاب واینترنت نیازهای جنسی و ارتباط های جنسی من را دچارمیکند یا می کند وگرنه
نه من با کامپیوتر و
نه لپ تاپ و نه
با اینترنت مشکل دارم.
موفق باشید
به امید خدا