اهداف این مقاله
مسائل زیادی نیاز دارند که احتمال یک خروجی را پیش بینی کنند. رگرسیون لجستیک یک مکانیزم بسیار بهینه برای محاسبه احتمالات است. در عمل، شما میتوانید از احتمال برگشت داده شده به دو طریق استفاده کنید:
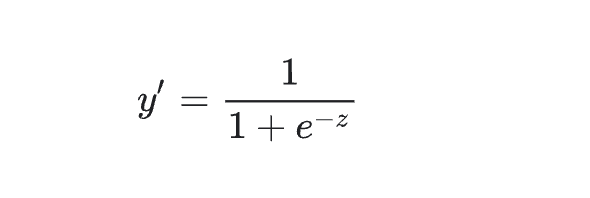
ممکن است با خود فکر کنید که یک مدل رگرسیون لجستیک چطور میتواند مطمعن شود که خروجی اش یک احتمال را نشان میدهد و همیشه مقداری بین ۰ و ۱ باز میگرداند. یک سری توابع وجود دارند به نام توابع لجستیک که خروجیشان این قابلیت را دارد. یک تابع استاندارد لجستیک شناخته شده وجود دارد به نام تابع سیگموید (تابع S شکل) که این فرمول را دارد:

معادله زیر مؤلفه خطی یک مدل رگرسیون لجستیک را نشان می دهد:

برای به دست آورد پیشبینی رگرسیون لجستیک، مقدار z به تابع سیگموید داده میشود، این امر یک مقدار (یک احتمال) تولید میکند که بین صفر و یک خواهد بود.
