شما نمیدانید چقدر شعر در محاسبهٔ یک جدول لگاریتم وجود دارد. کارل فریدریش گاوس

تا جایی که به خاطر دارم، پدرم همیشه مشکلات شنوایی داشت. به همین دلیل، هر از گاهی مجبور بود آزمایشی به نام «شنوایینگار» (audiogram) انجام دهد. شنویایینگار نموداری شبیه شکل بالاست است.
روی محور افقی، فرکانسهایی از ۲۰ تا ۱۰٬۰۰۰ را میبینید (اگرچه انسان میتواند صداهایی تا ۲۰٬۰۰۰ هرتز را هم بشنود). اما محور عمودی سطح شنوایی را در واحدی به نام دسیبل (decibel) نشان میدهد. دسیبل بهطور تحتاللفظی بهمعنای «ده بل (bel)» است، ولی خودِ «بل» یک واحد لگاریتمی است. این بدان معناست که ۴۰ دسیبل در واقع ده برابر قویتر از ۳۰ دسیبل است! اما چرا باید اینطور باشد؟ چرا از واحدی لگاریتمی برای اندازهگیری شنوایی استفاده میکنیم؟ جستجو برای پاسخ به این سؤال ما را به درکی عمیق از لگاریتم، مغز، ادراک و اطلاعات میرساند.
گوستاو تئودور فشنر (Gustav Theodor Fechner)، فیزیکدان، فیلسوف و روانشناس آلمانی، بنیانگذار آن چیزی است که امروزه به نام روانفیزیک (psychophysics) شناخته میشود. فشنر رابطهٔ میان تحریکات فیزیکی (physical stimuli) و احساسات یا ادراکات (sensations / perceptions) حاصل از آنها را مورد مطالعه قرار داد. مطالعات او افق جدیدی برای درک ذهن انسان و ارتباط آن با جهان فیزیکی گشود.
فشنر شاگرد فیزیکدان و روانشناس دیگر آلمانی به نام ارنست هاینریش وبر (Ernst Heinrich Weber) بود. وبر مشاهده کرد که «حداقل افزایش در یک محرک که منجر به افزایش قابلدرک در حس میشود، متناسب با اندازهٔ اولیهٔ آن محرک است». برای درک بهتر، به شکل زیر توجه کنید: در هر ستون مربع پایینی ۱۰ نقطه بیشتر از مربع بالایی دارد. اگرچه اختلاف تعداد نقاط در هر دو ستون یکسان است، اما ادراک ما از تفاوت در سمت چپ به وضوح آشکارتر از سمت راست است.

در سال ۱۸۶۰، فشنر کتاب مهمی به نام عناصر روانفیزیک (Elemente der Psychophysik) منتشر کرد که در آن به بررسی ایدههای بنیادین درباره ی احساسات انسانی پرداخت. او پیشنهاد داد که تغییرات حسی را بهتر میتوان بهعنوان «تضاد در مقیاس» درک کرد؛ یعنی تشخیص تغییرات بر اساس تفاوتهای نسبی صورت میگیرد، نه مطلق.
فشنر مشاهده کرد که برای آنکه تغییری در یک محرک (مثلاً روشنایی یا وزن) قابل درک باشد، آن تغییر باید نسبت ثابتی از محرک اولیه را تشکیل دهد. به عبارت دیگر:
مغز یک آشکارساز تغییرات نسبی (ratio-based change detector) است.
برای نمونه، اگر وزنهای ۱ کیلوگرمی را به ۲ کیلوگرم افزایش دهیم، فوراً متوجه تغییر میشویم. اما اگر از ۱۰ کیلوگرم به ۱۱ کیلوگرم برویم، همان یک کیلو افزایش بهسختی احساس میشود. برای اینکه تغییری مشابه در سناریوی دوم احساس شود، باید وزن دو برابر شود (از ۱۰ به ۲۰ کیلوگرم تغییر کند). این حداقل تغییر قابل درک، به عنوان تفاوت حداقل قابل احساس (just-noticeable difference یا JND) شناخته میشود.
فشنر نتیجهگیری میکند:
تغییر ادراکی نسبت معکوس با اندازه ی اولیه ی محرک دارد.
این قانون بهعنوان قانون فشنر (Fechner’s Law) شناخته میشود.
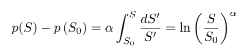
از دیدگاه ریاضی، اگر تغییر کوچکی در ادراک را با dp و محرک را با S نشان دهیم، رابطه به صورت زیر است:

که در آن آلفا یک ثابت تناسب است. اگر از مقدار اولیه S_0 شروع و به S برسیم کل تغییر خواهد بود:

یا:

این رابطه نشان میدهد که نسبت میان تحریکات و ادراکات، یک رابطهٔ لگاریتمی (logarithmic) است. یعنی اگر مقدار محرک چند برابر شود، میزان ادراک فقط بهصورت جمعی (خطی) افزایش مییابد. این اصل محدود به وزن یا شنوایی نیست، بلکه به همهٔ حواس انسانی تعمیم مییابد.
برای مثال، سامانه ی بینایی ما میتواند روشنایی را در بازهای از صفر تا بیش از ۱۰ به توان ۱۶ برابر تشخیص دهد، اما ادراک ما از روشنایی در این بازه تقریباً خطی افزایش مییابد. در عمل این بدان معناست که بینایی ما از تشخیص حتی یک فوتون (!) تا بیرون رفتن در یک روز آفتابی (۱۰ به توان ۱۶ فوتون) را می تواند مدیریت کند! به همین شکل، حس چشایی نیز بر اساس مقیاس لگاریتمی کار میکند. زبان به تفاوتهای کوچک در محرکهای ضعیف بسیار حساس است، اما با افزایش شدت، تمایزپذیری کاهش مییابد. برای نمونه، سوکرالوز (sucralose) که یک شیرینکنندهٔ مصنوعی موجود در بسیاری از نوشابههای رژیمی است، تا ۶۰۰ برابر شیرینتر از شکر است، اما ادراک ما از افزایش شیرینی آن نسبتاً اندک است، چرا که ادراک بهصورت لگاریتمی نسبت به شدت محرک افزایش مییابد. این پدیده دربارهٔ شیرینکنندههای قویتری مانند آدوانتام (Advantame، تا ۲۰٬۰۰۰ برابر شیرینتر)، ساخارین (saccharin) و آسپارتام (aspartame) نیز صدق میکند.
مقیاسبندی لگاریتمی فقط به پنج حس سنتی محدود نمیشود. بلکه شامل ادراک فاصله، زمان و حتی تصمیمگیری نیز میشود. طبق قانون هیک (Hick’s Law)، زمانی که افراد برای انتخاب از بین N گزینه صرف می کنند، تنها بهصورت لگاریتمی افزایش مییابد:
زمان واکنش ∝ لگاریتم (تعداد گزینهها)
این بدان معناست که اگر ده گزینه در برابر شما قرار بگیرد و شما در یک ثانیه تصمیم بگیرید در برابر ۱۰۰ گزینه این مقدار نه ۱۰ برابر بلکه فقط دوبرابر میشود (رشد خطی)
حال این سوال اساسی را مطرح می شود:
چرا ادراک ما رابطهای لگاریتمی با تحریکات دریافتی از جهان دارد؟