iliya faramarzi·۲ سال پیشهر گیگابایت چقدر وزن دارد؟ آیا وزن هارد خالی با پر تفاوت دارد؟آیا وقتی که یک هارد نو میگیریم و حجم اون رو کامل پر میکنیم وزن اون بیشتر میشه؟ اگه بیشتر میشه چقدر بیشتر میشه؟ اصلا هر گیگ چند گرم وزن داره…
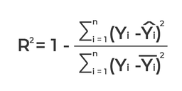
iliya faramarzi·۲ سال پیشضریب تعیین(R2) چیست و چطور منفی میشود؟توی این مقاله سعی دارم با زدن مثال و ریاضی توضیح بدم که چطور ممکنه که R2 توی ماشین لرنینگ منفی بشه.
iliya faramarzi·۲ سال پیشجاده خاکی ای به اسم کنکورتوی این پست سعی کردم تجربیات خودم از کنکور رو باهاتون به اشتراک بزارم و به نقاط مثبت و منفی کنکور بپردازم.